Une skieuse de masse inconnue démarre la remontée d'une pente faisant un angle alpha avec l'horizontale.Les vecteurs représentant les forces qui modélisent les actions mécaniques qui s'exercent sur elle sont tracés au point G ci-dessous.
Donnée: intensité de la pesanteur g=9.8N/kg
1/systeme & réf
2/Que représente G?
3/ Déterminer la VALEUR de l'accélération de la skieuse.
Aide:
1/ Déterminé graphiquement la résultante des forces.
2/ Déterminé le rapport a/g en utilisant les vecteurs P et Somme des Forces
Bonjour,
1) La construction graphique a l'air correcte.
2) Vous ne répondez pas à la question et, en particulier, vos calculs sont inutiles.
Le texte dit "utiliser P et résultante" qui valent
- numériquement en cm ? (donc à un problème d'échelle près)
- littéralement en fonction de a et g ?
Et le texte dit ensuite "déterminer a/g"
Merci d'avoir pris le temps de me répondre.
Je me suis aussi dit qu'il fallait mesurer mais manque d'échelle je ne trouvais plus cette idée pertinente. (Est-ce du coup la seule et unique façon de résoudre ce problème?)
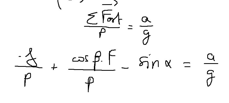
Je dois trouver une valeur donc manque d'échelle et de données je dois impérativement calculer! Je ne peux exprimer Le poids en fonction de la résultante et le rapport des deux me mènerais à ce résultat (image ci-jointe).
Je suis totalement impuissant face à cet énoncé..
Vous avez un rapport, donc le résultat ne dépend pas de l'échelle : vous pouvez même mesurer en largeur de trombone ou tout autre objet que vous avez sous la main.
Donc je suis obligé de le faire graphiquement. C'est bien ce que je craignais, merci pour la confirmation!
A vrai dire je me sens assez stupide, je ne vois absolument pas comment faire graphiquement. J'imagine que lorsque je verrais la réponse elle ne me surprendra pas mais je pèche complètement.. Peut-être pouvez-vous m'aiguiller? J'y suis depuis un petit moment et à court d'idées..
Donc je ne fais que le rapport des normes, ok je suis un abruti!
Excellente soirée! Et merci pour vos réponses.
gts2
J'en arrive à ceci mais toujours un point d'interrogation pour passer de la relation vectorielle à scalaire.
Merci encore!

C'est parti trop vite ...
, on prend la norme
(m>0) et on obtient bien F=ma avec F intensité de la résultante et a norme de l'accélération.
Bonjour à vous deux et meilleurs voeux !
@Nooblard13 : bienvenue sur le forum !
Relis attentivement le règlement de notre forum, les ajouts d'images sont restreintes :
extrait de
extrait de Vous devez être membre accéder à ce service...
Pas encore inscrit ?
1 compte par personne, multi-compte interdit !
Ou identifiez-vous :