Inscription / Connexion Nouveau Sujet
Niveau terminale
Partager :

Vérification pourcentage massique de nitrate d'ammonium

Posté par
HouseMusic
18-10-21 à 20:18

Bonjour,

Je n'arrive pas à répondre à la question 3 de cet exercice dont voici l'énoncer :

On souhaite vérifier le pourcentage massique de nitrate d'ammonium NH4NO3 d'un engrais commercial.
Pour cela on dissout une masse m = 1,7g d'engrais dans de l'eau distillée pour obtenir V = 210 mL de solution. On prélève un volume VA = 30 mL de cette solution. On ajoute à cela un volume de 100mL d'eau distillée avant de procéder au titrage de la solution obtenue par une solution d'hydroxyde de sodium (Na+, HO-) de concentration C = 2,00 .10-1 mol.L-1. 
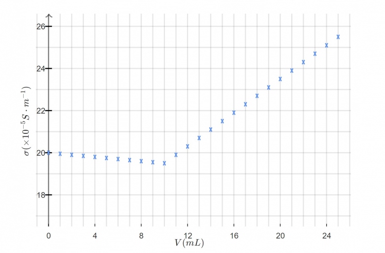
On obtient la courbe de titrage suivante : pièce jointe.

1) Déterminer le volume à l'équivalence Veq 

2) En déduire la concentration CA des ions NH4+ dans le volume VA de solution.

3) Quel est le pourcentage massique de nitrate d'ammonium dans l'engrais testé ?



Mes réponses :


1) On lit sur le graphe : Veq = 10 mL

2) On a la relation : CA . VA = CB . Veq

On trouve : CA = 8,00 .10-2 mol*L-1

3) On a un facteur de dilution de 130/30 = 4,3

On calcule Cinitial = 4,3 * CA = 3,5 .10-1 mol.L-1

On en déduit la masse m :

m = C*V*M
m = 3,5 .10-1*0,21*80
m = 5,82

ce qui est IMPOSSIBLE

Où ai-je fais une erreur ?


Merci pour vos réponses !

Vérification pourcentage massique de nitrate d\'ammonium

Posté par
odbugt1
re : Vérification pourcentage massique de nitrate d'ammonium 19-10-21 à 00:14

Bonsoir,

Question 1 :
Veq = 10mL  :  OK

Question 2 :
Relation CA * VA = CB * Veq  :  OK
Mais je ne retrouve pas ton résultat de CA = 8,00 . 10-2 mol/L
Merci de donner le détail de ton calcul numérique.

Posté par
HouseMusic
re : Vérification pourcentage massique de nitrate d'ammonium 19-10-21 à 17:20

Ah oui en effet, je ne sais pas d'où sort ce 8,00 .10-2

Donc on a

CA = (CB*Veq)/VA

CA = (2,00 . 10-1 * 10 .10-3) / 30 .10-3

CA = 6,70 .10-2 mol.L-1


Et donc pour la 3e question est-ce que c'est la bonne démarche même si les résultats sont avec des valeurs différentes ?

Posté par
odbugt1
re : Vérification pourcentage massique de nitrate d'ammonium 19-10-21 à 20:28

Citation :
Et donc pour la 3e question est-ce que c'est la bonne démarche même si les résultats sont avec des valeurs différentes ?
Non


Bien que tu n'aies pas pris la précaution de définir tes notations, ce que tu as appelé CA n'est rien d'autre que la concentration de la solution en ions NH4+
Ton résultat CA = 6,70.10-2 mol/L est correct. Toutefois pour la suite j'utiliserai plutôt le résultat non arrondi CA = (1/15) mol/L

La quantité de NH4+ présente dans V=210mL de solution est donc :
n(NH4+) = CA * V = (1/15) * 0,21 = 0,014 mol
Or tous les ions NH4+ proviennent du NH4NO3 introduit donc
n(NH4NO3) = n(NH4+) = 0,014 mol

Il te faut maintenant calculer la masse de NH4NO3 et la comparer à la masse m d'engrais laquelle renferme ce NH4NO3

Le résultat de cette comparaison te donnera le pourcentage massique de NH4NO3 contenu dans l'engrais.

Posté par
HouseMusic
re : Vérification pourcentage massique de nitrate d'ammonium 03-11-21 à 14:26

Bonjour, merci pour votre réponse

J'ai trouvé le résultat :

t = 65,9%

Mais pourquoi on prend pas en compte la seconde étape de l'expérience qui consiste à rajouter 100 mL d'eau dans VA ? Il s'agit bien d'une dilution de facteur 4,3 qui est à prendre en compte non ?

C'est pour ça que je ne comprends pas pourquoi n(NH4NO3) = n(NH4+).

Merci pour votre aide !

Posté par
odbugt1
re : Vérification pourcentage massique de nitrate d'ammonium 03-11-21 à 16:45

Ajouter de l'eau avant le titrage ne modifie pas la quantité de matière de  NH4+.
Cette dilution avant titrage est une nécessité expérimentale liée au protocole du titrage. Elle n'intervient pas dans le calcul.
Il en résulte que la concentration en ions NH4+ avant dilution est bien celle qui a été trouvée :  CA = 1/15 mol/L

La quantité de matière en NH4+  dans 210 mL de solution est donc bien de 0,210 * (1/15) = 0,014 mol
Chaque ion NH4+  provient d'une entité de NH4NO3 donc
n(NH4NO3) = 0,014 mol

La masse molaire de NH4NO3 est M = 80g/mol
On en déduit que la masse de  NH4NO3 est de 80 * 0,014 = 1,12g

1,7g d'engrais renferment 1,12g de NH4NO3 soit un pourcentage de 1,12 / 1,7 = 0,659 = 65,9%
Ton résultat est correct mais compte tenu de la précision des données il est préférable de l'arrondir à 66%



Mentions légales - Retrouvez cette page sur l'île de la physique - chimie
© digiSchool 2026

Vous devez être membre accéder à ce service...

Pas encore inscrit ?

1 compte par personne, multi-compte interdit !

Ou identifiez-vous :


Rester sur la page

Inscription gratuite

Fiches en rapport

parmi 246 fiches de physique

Désolé, votre version d'Internet Explorer est plus que périmée ! Merci de le mettre à jour ou de télécharger Firefox ou Google Chrome pour utiliser le site. Votre ordinateur vous remerciera !