Inscription / Connexion Nouveau Sujet
Niveau terminale
Partager :

Nomenclatures

Posté par
dstyle
11-11-12 à 16:45

Salut à tous !

je suis en ce moment sur le chapitre des nomenclatures.

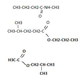
Et je recherche ses noms à partir des formules semi-développée :

Nomenclatures

Cordialement.


Edit Coll : image placée sur le serveur de l' Merci d'en faire autant la prochaine fois !     

Posté par
molecule10
réponse 12-11-12 à 23:03


  Bonsoir  dstyle :

  
  1).  CH3-CH2-CH2-CO-NH-CH3  =  N-méthylbutanamide .   C5H11NO


  2).  (CH3)2CH-CH2-CH2-COO-CH2-CH2-CH3  =  4-méthylpentanoate  de  n-propyle    C9H18O2


  3).  CH3-COO-CH2-CH(CH3)-CH3  =  acétate  d'isobutyle   C6H12O2


  Bonnes  salutations .



Mentions légales - Retrouvez cette page sur l'île de la physique - chimie
© digiSchool 2026

Vous devez être membre accéder à ce service...

Pas encore inscrit ?

1 compte par personne, multi-compte interdit !

Ou identifiez-vous :


Rester sur la page

Inscription gratuite

Fiches en rapport

parmi 247 fiches de physique

Désolé, votre version d'Internet Explorer est plus que périmée ! Merci de le mettre à jour ou de télécharger Firefox ou Google Chrome pour utiliser le site. Votre ordinateur vous remerciera !