Bien le bonjour en ces temps difficiles, j'espère que vous aller bien ?
Je viens vers vous non pour un DM cette fois, mais juste pour une petite aide pour une fiche bilan sur la Nomenclature que je doit faire. En effet, il me faudrait une molécule qui a dans son nom un préfixe, racine, suffixe et qui ne soit pas parmi celles que je vais citer:
- butan-1-ol
-acide éthanoique
-butanal
-propan-2-ol
-4-méthylpentan-2-one
-acide-3-éthylpentanoïque
-méthanol
-acide propanoïque
-4-méthylpentanoïque
-3-méthylbutan-1-ol
Merci pour votre aide 
Bonjour,
Fais une liste de tous les préfixes présents dans ta liste et trouves en un qui n'y est pas.
Recommence le même chose avec les racines, et la même chose encore avec les suffixes.
Et ça y est tu es en mesure de proposer une solution !
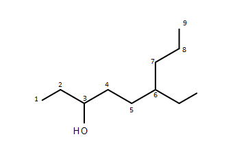
Non, ça ne fonctionne pas car la chaîne carbonée principale possède 9 atomes de carbone.
Ta molécule est du 6-éthylnonan-3-ol
J'aurais du te dire qu'il fallait aussi vérifier que le nom de la molécule obtenue obéisse aux règles de nomenclature.

Ok, merci, mais nous n'avons pas encore vue ce type de représentation pour une molécule, je sais juste qu'il y a 1 carbone à chaque croisement, mais ça donnerait quoi en schéma demi- développée ?
Vous devez être membre accéder à ce service...
Pas encore inscrit ?
1 compte par personne, multi-compte interdit !
Ou identifiez-vous :