Inscription / Connexion Nouveau Sujet
Niveau première
Partager :

Exercice d'interprétation

Posté par
aspouti
02-11-11 à 18:15

Bonjour à vous tous, j'ai un exercice que je ne comprends pas et je souhaiterais de l'aide. Je vous en remercie d'avance

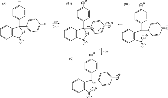
La phénolphtaléine est un indicateur coloré rose en milieu basique et incolore en milieu acide. Elle réagit suivant la réaction d'équation présentée ci-dessous:

Exercice d\'interprétation

(il faut rajouter + 2 HO- sur la photo)

-------------------------

** lien effacé **

(prenez la photo C et rajouter + 2 H2O

La question est d'interpréter les couleurs observées expérimentalement?

Néanmoins j'ai quelques indices pour y parvenir mais je ne comprends pas la première chose à faire:

Voici les indices:
-1: Rappeler comment se définit une solution acide et une solution basique à partir des quantités d'ions H+ et HO-

-2: Surligner les doubles liaisons conjuguées de la phénolphtaléine. Constituent-elles un seul système conjugué ou trois systèmes conjugués séparé?

Je l'ai fait: j'ai trouvé 10 doubles liaisons conjuguées mais je ne comprends pas ce que veut dire un système conjugué ou trois systèmes conjugués séparé.

-3: Surligner les doubles liaisons conjuguées du produit organique de la réaction présentée. Combien de doubles liaisons ce système conjugué possède-t-il?

J'ai trouvé 11 doubles liaisons conjuguées.

-4: Synthétiser les réponses des 3 précédentes questions afin d'interpréter les couleurs observées expérimentalement.

Voila j'espère avoir de l'aide et merci d'avance

Edit Coll : image placée sur le serveur de l' Merci d'en faire autant la prochaine fois !     

Posté par
aspouti
re : Exercice d'interprétation 02-11-11 à 18:18

excusez moi le deuxième lien n'a pas été enregistré donc je le remets:

** lien effacé **

Edit Coll

Posté par
aspouti
re : Exercice d'interprétation 02-11-11 à 18:19

bon excusez moi je mets le liens complet désolé:

** lien effacé **

Edit Coll

Posté par
shadowmiko Moderateur
re : Exercice d'interprétation 02-11-11 à 20:02

bonsoir!

qu'as-tu fait? où bloques-tu exactement.

Et au sujet du lien je t'invite à relire la faq

Posté par
aspouti
re : Exercice d'interprétation 02-11-11 à 21:06



Bon désolé même avec la faq je n'arrive pas à mettre l'image.

Sinon tout d'abord bonsoir shadowmiko,

comme je l'ai dis c'est comment se définit une solution acide et une solution basique à partir des quantités d'ions H+ et HO- que je ne comprends pas.
Comme tu peux le voir en italique je n'ai répondu qu'à la question 2 et 3.

Voila

Posté par
shadowmiko Moderateur
re : Exercice d'interprétation 02-11-11 à 23:25

La voilà : Exercice d\'interprétation


Sais-tu à quoi correspond exactement le pH?

Posté par
aspouti
re : Exercice d'interprétation 02-11-11 à 23:43

je sais juste que lorsque le pH est inférieur à 7: c'est un acide
lorsque le pH est supérieur à 7: c'est une base

Posté par
shadowmiko Moderateur
re : Exercice d'interprétation 02-11-11 à 23:46

oui. Et bien en réalité le pH est lié à la concentration en ions acide H+ : plus tu en as en solution, plus c'est acide.
Et inversement plus tu as d'ions hydroxydes, plus c'est basique

Posté par
aspouti
re : Exercice d'interprétation 02-11-11 à 23:49

ah d'accord au moins j'aurais appris quelque chose aujourd'hui

Posté par
shadowmiko Moderateur
re : Exercice d'interprétation 03-11-11 à 12:44



Mentions légales - Retrouvez cette page sur l'île de la physique - chimie
© digiSchool 2026

Vous devez être membre accéder à ce service...

Pas encore inscrit ?

1 compte par personne, multi-compte interdit !

Ou identifiez-vous :


Rester sur la page

Inscription gratuite

Fiches en rapport

parmi 247 fiches de physique

Désolé, votre version d'Internet Explorer est plus que périmée ! Merci de le mettre à jour ou de télécharger Firefox ou Google Chrome pour utiliser le site. Votre ordinateur vous remerciera !