Bonjour à tous !
Je fais appel à vous car j'ai besoin d'aide pour cet exercice de chimie. En effet, je n'ai pas très bien compris cette partie du chapitre alors je vous demande si vous pouviez me donner quelques pistes pour résoudre cet exercice, voici l'énoncé :
La communication entre insectes se fait souvent par l'intermédiaire de molécules appelées phéromones. Certaines de ces molécules possèdent des doubles liaisons C = C pouvant présenter la stéréo-isomérie Z/E. Les insectes ne sont généralement sensibles qu'à l'un des deux stéréo-isomères.
1 . Préciser la stéréo-isomérie Z ou E des doubles liaisons (A, B, C, D et E) des phéromones (a, b et c) ci-dessous.
2 . Représenter la formule de ces phéromones en écriture topologique.
Merci d'avance !

Pour la première question je ne comprends pas vraiment ce qu'on me demande :/ .
Et pour la deuxième question ce sont les (CH2)6 , (CH2)9 , les CH2(2) qui me posent problème je ne vois pas comment les répresenter !
Bonjour,
Question 1)
Une configuration Z,E permet d'indiquer sur les groupements les plus lourds sont du même côté de la double liaison (config. Z) ou de chaque côté (Config. E)
Je te corrige le premier à titre d'exemple pour la double liaison (A)
Sur le carbone de gauche, tu as H- et C2H5- comme groupements. Le plus lourd est C2H5-
Sur le carbone de droite, tu as H- et le reste de la molécule (-CH=CH(CH2)6-O-CO-CH3) qui est le groupement le plus lourd.
Comme ces deux groupements les plus lourds sont orientés du même côté de la double liaison (A) [on voit bien qu'ils sont "en-dessous" tous les deux], alors il sont "ensemble"
Configuration Z (= Zusammen)
Question 2)
(-CH2-)6, c'est l'enchaînement linéaire du groupe (-CH2-) 6 fois répétés: -CH2-CH2-CH2-CH2-CH2-CH2-
Idem pour (-CH2-)9 qui est donc répété 9 fois et (-CH2-)2, répété 2 fois
Donc si j'ai bien compris
a) est un Z
b) un Z aussi
et c) un E
C'est ça ?
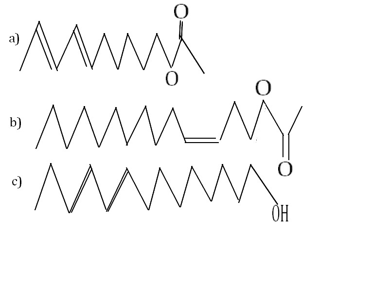
Et voici ci-joint l'écriture topologique des phéromone. Cependant c'est le groupe C2H5 qui me pose problème alors je ne suis pas sur de sa représentation :/

Non, c'est incomplet.
Vous avez oublié le fait que (a) et (b) présentaient 2 doubles liaisons d'où la question posée :
"Préciser la stéréo-isomérie Z ou E des doubles liaisons (A, B, C, D et E)"
C2H5, c'est tout simplement CH3-CH2-
Votre molécule a) est fausse... Vos deux doubles liaisons ne sont pas côte à côte... Elles sont séparées par une simple.
Dans l'enchainement (CH2)6, il vous en manque un.
Quant la configuration -O=O, le O que vous avez dessiné en bas comporte 10 électrons car il possède 3 liaisons... Ceci est contraire à la règle de l'octet... Vous avez omis la forme C-CH3
Pour la (b)
Le début de l'enchaînement est juste jusqu'à la double liaison, le reste est faux. (mêmes raisons qu'au-dessus et il manque des carbones)
Pour la (c)
Les deux doubles liaisons ne sont pas côte à côte...
Dans l'enchainement (CH2)9, il vous manque un -CH2- si j'ai bien compté... 
Merci,
a = Z
b = E
c = Z
e = Z
d = E
J'espère que c'est ça
Et pour l'écriture topologique j'espère que j'y suis arrivée ...

Je suis d'accord avec la question 1.
Il me semble qu'il manque des groupes dans vos molécules... si j'ai bien compté...
Voici (si je ne me suis pas trompé) les molécules en question :

Vous devez être membre accéder à ce service...
Pas encore inscrit ?
1 compte par personne, multi-compte interdit !
Ou identifiez-vous :