Bonjour,
Je suis dans un problème de physique.
L'énoncé est le suivant :
Une sphère conductrice de centre 0 de rayon R porte une densité
uniforme. Dans le référentiel du laboratoire, elle tourne à vitesse angulaire
constante.
Dans une partie on nous dit :
On admet qu'un dipôle magnétique de moment magnétique placé en O crée en un point P tel que
=
un champ magnétique pour lequel le potentiel-vecteur s'écrit
(P) = µo/(4pi) *

/r3
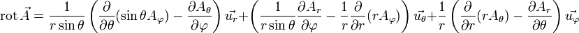
On donne l'expression en coordonnées sphériques du rotationnel.
a. Exprimer le potentiel-vecteur créé en un point P par le dipôle magnétique dans la base locale des coordonnées sphériques en supposant que = M *
b. En déduire le champ magnétique créé en P par le d^pôle mégnétique.
___________________________________________________________________________________
Merci de m'expliquer comment faire ces deux questions

Bonsoir,
Il y a un truc qui me paraît bizarre...
Mais, si et
, on a :
Et là, j'ai un problème
...
sauf erreur de ma part...
Apparemment, on trouve ...
La question b, c'est et on aurait le plaisir d'utiliser le rotationnel en coordonnées spériques mais si
...
Vous devez être membre accéder à ce service...
Pas encore inscrit ?
1 compte par personne, multi-compte interdit !
Ou identifiez-vous :