bonjour
je finalise mon TIPE et j'aurais besoin du rayon et de la masse d'une particule de fumée pour un calcul de coefficient de diffusion ou encore mieux le coefficient de diffusion :p
j'ai déjà beaucoup fouillé sur google et cela n'a rien donné...
merci d'avance
@+
Edit Coll : forum modifié
justement ce n'est pas du carbone mais des particules assez grosse (plus grosse que le CO2) un mélange de carbone je suppose, j'ai le rayon : autour de 10µm mais la masse me manque (ou la masse volumique)
Donc des petits conglomérats de carbone. Mais on considère généralement qu'il s'agit de carbone. Une simple recherche sur le carbone devrait suffir
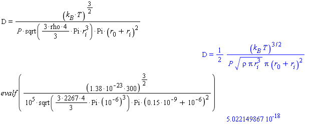
J'aboutis à cette formule (modèle des sphères dur + Gaz Parfait) : 
(désolé je ne maîtrise pas encore bien le LaTeX)
j'ai pris rho = 2267 kg/m3 (Carbone)
R=10^-6 m
finalement c'est 10^-18 m²/s....
La combustion de bois par exemple (cellulose) dégage du CO2 et du CO et aussi des particules de carbone.
C'est ce que j'ai trouvé
je ne sais pas d'où peut provenir le problème
Re
!
Sur Wikipédia:
La fumée est un nuage de particules solides émis par un feu ou un échauffement mécanique. Ces particules sont principalement de la suie (du carbone imbrûlé), ainsi que des cendres ; ces particules sont mélangées aux gaz de combustion et aux vapeurs chaudes.
Donc fumée = particules solides. Ensuite ces particules sont mélangées aux gaz
Vous devez être membre accéder à ce service...
Pas encore inscrit ?
1 compte par personne, multi-compte interdit !
Ou identifiez-vous :