Bonjour, j'ai un Dm à faire en chimie de la Terre qui fait partie d'une matière mais je suis plus sur la physique que la minéralogie/géochimie de la Terre.
Le sujet est en pièce jointe et aussi à la suite de ce message.
-----------------------------------------------------------------------------------
Un des buts de ce devoir est de vous faire réfléchir sur un jeu de données. Pour certaines quesons, il
n'existe pas de réponse unique, mais plusieurs. Il vous suffit de confronter les données et vos
connaissances pour proposer des hypothèses. Je réfléchirai principalement à la manière dont vous
jusfiez vos réponses.
Une expérience HP-HT a été réalisée sous rayonnement synchrotron. Un mélange d'oxydes avec
stoechiométrie bridgmanite est chargé dans un LHDAC et mis dans des condions P et T croissantes.
Les diagrammes de diffracon des rayons X, acquis à HP et LT ou HT, ont été obtenus et traités pour
obtenir les paramètres de réseau. Les résultats sont donnés dans le tableau 1 (joint sous forme de
fichier xls).
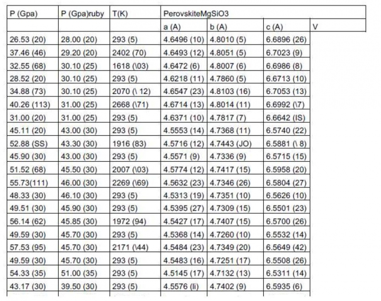
Tableau 1 : Condions PT des expériences et paramètres de cellule unitaire obtenus de la bridgmanite
[tableau de valeur]
1) La brigmanite étant une phase orthorhombique, calculez le volume du réseau. Extrapoler 𝑉0 à
P=1 bar. Comment se compare-t-il au volume cellulaire trouvé dans la liérature ?
2) Tracez les trois paramètres du réseau en foncon de P, en tenant compte de T. Commentez vos
découvertes.
3) Tracer le volume cellulaire en foncon de la pression à température ambiante et élevée.
Ajustez les données avec des courbes isothermes ajustées avec une équaon d'état eulérienne
de Birch-Murnaghan à déformaon finie :
𝑃 = [cf image]
Avec 𝐾, 𝐾
, o et 𝑉 sont le module d'encombrement, sa dérivée de pression et le volume unitaire de
maille à pression et température ambiantes T (en K). Nous supposerons que 𝐾
est égal et constant en
4.
- Expliquez les différentes étapes du programme python fourni dans les fichiers joints (vous
pouvez le modifier si vous le souhaitez)
- Donner les valeurs de 𝐾et 𝑉 à LT et HT. Commentez vos résultats et comparez-les à la
liérature.
NB : vous pouvez également uliser EoSfit si vous le souhaitez, alors vous commenterez également
toutes les étapes : hp://www.rossangel.com/home.htm
4) Les profils de densité et de 𝐾 , non présentés ici, ont été modélisés en ulisant les paramètres
thermoélasques d'un mélange de 83 % de bridgmanite (obtenue par l'étude présentée) et de
17 % de feropericlase. La comparaison entre ces profils de modèles et PREM est fournie dans
la fig. 1. Commentez cee figure et fournissez des hypothèses sur l'inadaptaon.
-----------------------------------------------------------------------------------
J'essaie d'insérer en image le tableau de valeur et la figure mais ce n'est pas le plus fondamental
Pouvez vous me donner des pistes de réflexions sur les questions s'il vous plaît ?
Merci d'avance pour vos réponses.
amde

PDF - 262 Ko
Bonjour,
Contrairement à ton premier sujet posté, ça me paraît être trop spécifique pour un forum de physique-chimie généraliste, le mieux serait que tu ailles sur un forum spécialisé type geoforum.fr, qui sera plus à même de t'aider.
Je préfère donc le clôturer ici.
Bonne St-Sylvestre et à bientôt pour d'autres sujet plus classiques.

Vous devez être membre accéder à ce service...
Pas encore inscrit ?
1 compte par personne, multi-compte interdit !
Ou identifiez-vous :