Bonjour,
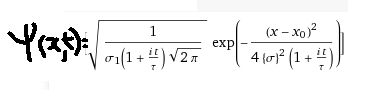
On dispose d'une fonction d'onde (cf pièce jointe)
type Gaussienne, et on souhaite déterminer sa vitesse de groupe et sa vitesse de phase .
Cependant, cette fonction ne dépend pas explicitement de k et w, on ne peut donc pas procéder comme classiquement en électromagnétisme en faisant w/k et dw/dk .
Avez vous une idée de comment procéder ?
Merci d'avance,
Bonne soirée

Vous devez être membre accéder à ce service...
Pas encore inscrit ?
1 compte par personne, multi-compte interdit !
Ou identifiez-vous :