Bonsoir,
On s'interesse à la fem sur une machine synchrone
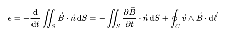
On peut écrire avec la loi de Faraday que , pour trouver la fem dans une spire.
Cependant pour écrire cela on a donc négligé le terme dB/dt.
Je ne comprends donc pas...
Merci

Bonjour
Deux à deux causes possible de fém induite qui, dans les deux cas se calculent comme la circulation du vecteur champ électromoteur :
1° : Cause dite "de Lorentz" : déplacement ou déformation d'un conducteur dans un champ magnétique indépendant du temps avec pour vecteur champ électromoteur : ;
2° : Cause dite "de Neumann" : circuit fixe dans champ magnétique variable en fonction du temps avec pour vecteur champ électromoteur :
Il y a peu de dispositifs où les deux causes existent simultanément et dans ces cas, un des deux termes du vecteur champ électromoteur est presque toujours négligeable devant l'autre, ce qui semble être le cas ici...
En fait, nous voulons avoir la fem sur une spire du stator. Donc on cherche e avec E = V^B
avec v la vitesse du stator (si rotor tournant pas) et B l'induction du champ tournant.
On fait on disait que soit le rotor tourne et le stator est fixe soit le rotor ne bouge pas et donc le stator bouge pour dire que la vitesse c R*omega. Pour trouver e = R* omega * B * L
Cette formule est celle correspondant à une dynamo : chaque fil de longueur L, placé à la distance R de l'axe du rotor, celui-ci tournant à la vitesse angulaire
dans un champ magnétique radial.
Oubli important dans ma dernière phrase en rapport avec ta question ; je complète :
"celui-ci tournant à la vitesse angulaire
dans un champ magnétique radial permanent créé par le stator".
D'accord merci,
Quand vous dites "permanent", c'est à dire que B ne varie plus ?
donc le terme dB/dt nul.
C'est bien cela. Reste à savoir que le contexte de mon message du 18-05-22 à 11:39 correspond bien à la situation physique qui t'intéresse.
Oui c'est bien cela, les fils étant sur le stator avec un rotor créant un B radial.
J'aimerais juste une petite explication sur B et régime stationnaire car pour moi B tourne donc ...
Merci
Comme tu l'as déjà expliqué, tu imagines le rotor fixe donc créant un champ magnétique indépendant du temps. Dans ces conditions, chaque conducteur du stator se déplace à la vitesse v=R.
dans ce champ magnétostatique.
Vous devez être membre accéder à ce service...
Pas encore inscrit ?
1 compte par personne, multi-compte interdit !
Ou identifiez-vous :