Bonjour a tous,
Face a un problème de mécanique, j'obtiens cette équation différentielle :
Avec g,r des constantes, et
une variable.
Je n'ai pas réussi a trouver la méthode pour la résoudre...C'est du niveau math sup?
Ou bien peut etre me suis-je trompé avant dans l'exercice...
Si quelqun connait la méthode pour la résoudre, merci de partager le savoir!
A+
Dans l'exercice on doit supposer quelque part que est petit devant 1.
Sinon ce n'est pas du niveau maths sup surtout en physique (je ne croispas qu'il y ait un solution analytique à cette equation mais on a de nombreux renseignements sur elle toutefois cette étude n'est pas du niveau sup )
Cela "sent" le pendule.
Si c'est cela, en général, on triche en disant que theta reste petit et que donc sin(theta) peut être assimilé à theta.
S'agit-il bien d'un problème de pendule ou d'autre chose ?

C'est un probleme de glissement sans frottements sur une demi-sphere... (avec r le rayon de la sphère)
A priori, theta décrit l'intervalle [0;Pi/2] ...
Soit le mobile glissant de A à B
AC = R(1-cos(theta))
Variation d'énergie potentielle entre A et B = m.g.R(1-cos(theta))
Par la conservation de l'énergie mécanique: m.g.R(1-cos(theta)) = (1/2)mv² (Avec v la vitesse du mobile en B)
Force centrifuge sur l'objet en B : Fc = m.v²/R
--> Fc = 2.m.g(1-cos(theta))
-----
La réaction normale de la sphère due au poids de l'objet est : N = P.cos(theta) = mg.cos(theta)
-----
L'objet "décollera" de la sphère dès que Fc = N, donc pour :
2.m.g(1-cos(theta)) = mg.cos(theta)
2.(1-cos(theta)) = cos(theta)
3.cos(theta) = 2
cos(theta) = 2/3
theta = arccos(2/3) = 48,2° environ.
-----
Donc le mobile va glisser sur la sphère depuis theta = 0 jusque theta = 48,2° et alors le mobile décollera de la sphère.
-----
Sauf distraction. 
Bonjour,
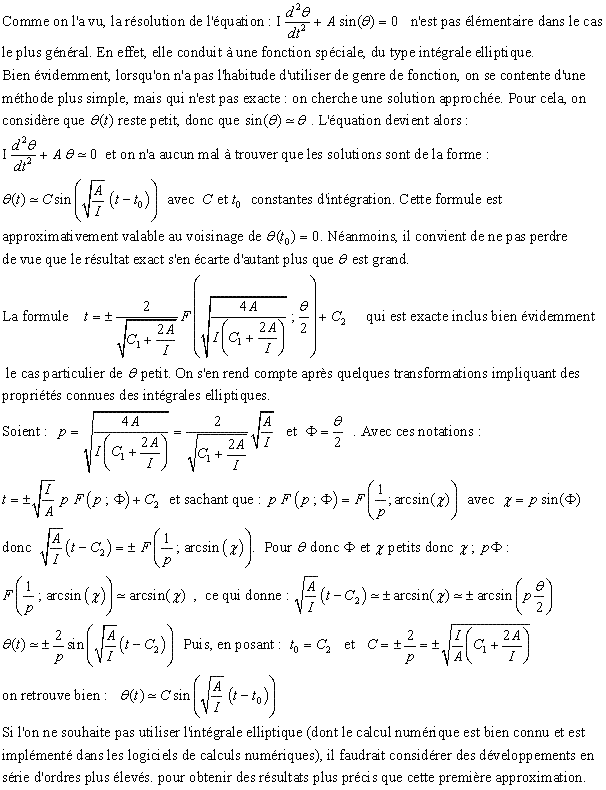
La résolution complète et sans approximation de cette équation différentielle a déjà été donnée sur le forum.
Mais je n'ai pas pu remonter à cette réponse ancienne car l'outil de recherche ne donne que les 30 réponses les plus récentes.
Heureusement, j'avais conservé la page jointe qui avait été mise sur le forum.
C'est la même équation avec des notations un peu différentes : théta=y, t=x et (g/r)=A.

Tout d'abord merci a J-P et JJa pour leurs réponses.
Apres réflexion, il me semble que l'équation différentielle que je trouve ne doit pas etre bonne, vue sa difficulté. Je pense donc que je me suis trompé avant dans mon raisonnement... Mais oû ?
Je vais donc vous proposer mes recherche sur cet exercice :
J'utilise donc une base cylindrique, (Er,Eo,Ey)
Etude cinématique : OM = r * Er (tout en vecteur)
donc
V = d(OM)/dt
V = r * d
/dt * Eo , car r=cste et d(Er)/dt = d
/dt * Eo
A = d(V)/dt
A = r * d²
/dt² * Eo - r * (d
/dt)^2 * Er
Ensuite , Bilan des forces :
Poids : P = mg = - mg Ez ,
Or : Ez = -sin(
)*Eo + cos(
)*Er
donc P(vecteur) = mg*sin(
)*Eo - mg*cos(
)*Er
Réaction de la demi-sphere : R(vecteur) = R*Er
Relation fondamentale de la dynamique :
Somme des forces = m*A
sur Er : - m * r * (d
/dt)^2 = R - mg*cos(
)
sur Eo : m * r * d²
/dt² = mg*sin(
)
Merci de me dire oû se situe mon erreur...
Petite remarque :
L'adjectif "atyptique" dans le titre de la question me semble vraiment mal choisi, c'est le moins que l'on puisse dire !
Je dirais plutôt que c'est une équation différentielle typique : sa résolution fait appel à une fonction spéciale (elliptique dans le cas présent).
En effet la plupart des équations différentielles ne peuvent pas être résolues avec les fonctions élémentaires ou usuelles (sauf avec des séries infinies). Il faut, le plus souvent, faire appel à des fonctions spéciales, voir même à du calcul numérique pur et dur. Evidemment, celles qui sont choisies à un certain niveau d'enseignement sont plus simples à résoudre : ce sont "cas d'école".
Qui plus est, cette équation différentielle fait fréquemment l'objet de questions sur les forums de maths. Plusieurs réponses ont déjà été données, avec différentes variantes de rédaction, selon la façon dont la question était posée.
J'en ai retrouvé des copies que je joins : choisissez celle qui vous convient le mieux...

Réponse au post de webcam,du 30/12/2006 à 16:35
En effet, l'étude générale de cette équation différentielle n'est certainement pas la bon moyen de répondre au problème posé !
Il vaut mieux s'orienter vers la méthode proposée par J-P (posté le 29/12/2006 à 20:22)
webcam
Ton équation n'est pas fausse.
Elle est cependant difficile à traiter comme les posts de JJa (que je salue) te l'ont suffisamment montré.
On peut la traiter à la manière "ingénieur" plutôt qu'à la manière "mathématicien", c'est à dire via un tableur Excel par exemple.
On crée :
- une colonne avec le temps qui s'incrémente très lentement.
- Une colonne "Theta", dont on remplit la première ligne par une très faible valeur positive (pas 0, sinon, il n'y a pas de raison pour que le mobile commence à glissser).
Les lignes suivantes s'incrémenteront par le w.delta t déduit dans les colonnes qui suivent.
- Une colonne "accélération" dont la formule est g/R *sin(theta)
- Une colonne vitesse (w) qui part de 0 et s'incrémente par accélération * delta t.
- une colonne Fc de force centrifuge qui calcule m*w^2*R
- Une colonne réaction normale : qui cacule : mg*cos(theta).
On peut alors tirer des graphes:
Un graphe avec theta = f(t)
Et un graphe avec Fc(t) et N(t) (je l'ai fait ici avec m unitaire et R unitaire, mais on fait ce qu'on veut).
On obtient:
On peut constater que FC devient > N, et donc que le mobile "décollera" de la sphère pour theta = 0,84 radian environ (soit 18,12° environ)
Don, aux imprécisions dues à la méthode près, pour la même valeur que celle calculée dans mon post du 29/12/2006 à 20:22
Donc, tout dépend de ce que tu dois faire.
L'approche que j'ai suggérée dans mon post du 29/12/2006 à 20:22 est plus facilement accessible au calcul.
-----

Vous devez être membre accéder à ce service...
Pas encore inscrit ?
1 compte par personne, multi-compte interdit !
Ou identifiez-vous :