Bonjour,
J'ai un exercice d'électronique qui me bloque (les notations sont un peu bizarre dans l'énoncé). (Montage en annexe)
Dans un premier temps, on doit calculer le gain en tension A=U2/U1.
J'ai appliqué la loi des noeuds :
(1) i1=i+i^
(2) i^=i2+i3
J'ai ensuite appliqué la loi des mailles
(1) E-Ur-U1=0
(2) U1-Ur2=0
(3) Ur2-u2=0
Donc U1=Ur2 et U2=Ur2
Donc A=1
Je trouve cela un peu bizarre d'obtenir un gain de tension de A=1
Quelqu'un pourrait m'éclairer ? Ou juste dire la faute de raisonnement

Bonjour
Je crois que tu te complique la vie.
Commence par remplacer l'association R2//R3 par sa résistance équivalente. Par quelle est l'intensité du courant à travers cette résistance ? La réponse à la première question est alors évidente !
Si on calcule la resistance équivalente à R2//R2 , on trouve :
Req= (R2R3)/(R2+R3) traversé par le courant i^
On peut écrire que gU1=gR1i^
On peut donc écrire que : U1/R1=i^
Or on sait que U2=Req*i^
U2=Req*(U1/R1)
On en déduit que U2/U1=Req/R1
Et je trouve que le rapport vaut 1.2*10-3
D'accord merci beaucoup je comprends mieux. Après application numérique, je trouve que le rapport vaut 4.8*10-6 (c'est un rapport de tension donc pas d'unité, c'est exact ?)
Ensuite on me demande de déterminer la resistance d'entrée re=U1/i1 du montage du par le générateur entre les bornes k ET m
Ducoup, je suis parti dans une loi des mailles dans la portion de gauche afin d'exprimer i1 en fonction des resistances et utiliser la relation de la 1ère question pour pouvoir répondre, est-ce exact ?
Tu sembles particulièrement affectionner l'usage de la loi des mailles. C'est vrai que cette loi est simple à écrire mais elle est particulièrement piégeante : elle multiplie le nombre d'inconnues qui interviennent dans les équations, inconnues qu'il est souvent difficile d'éliminer des calculs ensuite.
Ici, la loi des nœuds appliquée en K, appliquée en tenant compte de la loi d'Ohm appliquée à R1 et de la définition de g donne le résultat en une ligne...
En appliquant la loi des noeuds en K, on trouve i1=i+i^
En appliquant la loi d'ohm : U1=R1*i
Et on sait que U2=g*U1*Req
On peut remplacer la valeur de i dans l'expression de la loi des noeuds i=U1/R1
Mais je vois pas comment utiliser la 3ème expression :/
Bonsoir, je reviens avec quelles petites questions pour cet exercice.
On me demande à présent de calculer le gain en tension A1=U2/e
Pour cette question , je suis parti de la relation connue à partir de la loi d'ohm, c'est à dire U2=gU1*Req
Or on sait que Re=U1/i1 (d'après la question précédente), on peut donc écrire U1=Re*i1
On remplace : U2=g(Re*i1)*Req
On obtient U2=gE*Req
A1=g*Req
Et également déduire le gain en puissance A2=P2/P1 , où P1 représente la puissance fournie par le générateur et P2 la puissance reçu par la charge R3.
Pour la puissance, nous avons écrit dans le cours que P=U*i (avec U et i fléché dans des sens opposés)
P1=E*i1
P2=U2*i'
On peut développer les expressions de chacun pour simplifier l'expression je pense ?
Sachant que e=0,3sin(wt), calculer le débit de norton équivalent au montage vu par la charge R3.
Pour calculer ce courant, je me suis dit que l'on pouvait determiner la résistance équivalente de l'ensemble du montage mais c'est rendu impossible par la présence de du générateur de courant controlé :/
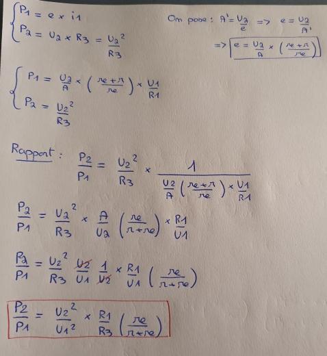
Bonjour,
Je suis reparti de la relation : e=U1(1+r/re)
Dans la question 1 ,on a prouvé que A=U2/U1
Donc U1=U2/A
On remplace : e=U2/A (re+r)/r
Ensuite on peut écrire => e/U2= (1/A)*(re+r)/re
On inverse et on trouve A'=U2/e=A*(re/(re+r))
Pour calculer le gain en puissance A2=P2/P1 , où P1 représente la puissance fournie par le générateur et P2 la puissance reçu par la charge R3.
On peut écrire que :
P2= U2 × i3
P1 = E × i1
Je me dis que cest bien parti car on connait déjà le rapport U2/ E que l'on a calculé avant, le problème cest qu'il faut déterminer le rapport i3/i1 et je vois pas trop comment faire.
Aaah merci beaucoup !
On peut écrire : P1=E*i1
Et P2=U2^2/R3
Quand je fais le rapport,jen deduis :
P2/P1= ( U2 )^2 / ( R3 × E × i1 )
On peut aussi mettre en facteur A' si on veut.
Jai essayé de trouver une relation entre R3 et i1 mais je tourne en rond donc je pense que n'on peut pas simplifier
Je garde les notations de mes anciens messages qui respectent celle du premier schéma fourni.
avec :
Bonsoir,
Il existe deux utilitaires pour écrire des formules de maths, cela évite d'alourdir les serveurs par des scans de plusieurs Mo :
extrait de 
Je ne connais pas les exigences de ton professeur mais, a priori, je pense qu'il faut remplacer la rapport par son expression en fonction de g et des résistances.
On me demande ensuite de calculer le débit du générateur de Norton vu par la charge R3.
( on sait à présent que e=0,3 sin(wt) )
On remplace la résistance R3 par un fil.
Le problème, cest que cest un générateur de courant contrôlé, je peux donc pas déterminer la résistance équivalente de l'ensemble de mon système :/
Tu as raison: pour trouver la résistance de Norton, il faut remplacer le générateur de tension par un simple fil conducteur mais pas question d'enlever la source liée !
Méthode possible : remplacer R3 par un générateur idéal de courant de courant électromoteur fixe Io et déterminer l'expression de la tension Uo aux bornes de ce générateur de courant.
Tu obtiens alors la résistance de Thévenin Rn :
Remarque complémentaire : s'il s'agit d'établir l'expression de i3 en fonction de e(t), il n'est pas obligatoire de passer par le théorème de Norton. Les résultats établis précédemment suffisent :
Remplacer A par son expression obtenue à la première question.
Sous toute réserve, n'ayant pas l'énoncé intégral....
Vous devez être membre accéder à ce service...
Pas encore inscrit ?
1 compte par personne, multi-compte interdit !
Ou identifiez-vous :